使用 parfor 加速蒙特卡罗代码
此示例显示如何使用 parfor 循环来加速蒙特卡罗代码。蒙特卡罗方法应用于许多领域,包括物理学、数学、生物学和金融。蒙特卡罗方法涉及使用随机分布的输入多次执行一个函数。使用 Parallel Computing Toolbox™,您可以将 for 循环替换为 parfor 循环,从而轻松加快代码运行速度。
此示例运行基于美元拍卖的简单随机仿真。运行多次仿真,使用蒙特卡罗方法找出一美元钞票的市场价值。在这个示例中,美元拍卖被视为一个黑箱函数,其产生的输出取决于随机进程。要了解有关该模型的更多信息,请参阅美元拍卖。要了解如何加速蒙特卡罗代码,请参阅使用 parfor 循环估计市场价值。
美元拍卖
美元拍卖是一种非零和游戏,由马丁·舒比克于 1971 年首次提出。在游戏中,玩家竞标一张一美元的钞票。当一个玩家出价后,其他每个玩家都可以选择做出比之前出价者更高的出价。当没有其他玩家决定出价时,拍卖结束。最高出价者将获得一美元钞票,然而,与典型的拍卖不同的是,最高出价者和第二高出价者都会向拍卖师出价。
随机模型
您可以使用随机模型来仿真类似于美元拍卖的游戏。可以使用马尔可夫进程对状态(当前出价和活跃参与者的数量)进行建模,因此可以预期结果(市场价值)具有明确的统计数据。结果是根据条件分布得出的,因此美元拍卖非常适合蒙特卡罗分析。市场价值受以下因素影响:
玩家人数,(
nPlayers)玩家采取的行动
在这个示例中,以下算法根据状态确定玩家采取什么行动(出价或退出)。
将出价设置为之前的出价加上
incr。从非前一位竞标者的玩家中随机选择一名玩家。
如果之前没有收到任何投标,则转至 8。
如果之前的出价小于 1,则生成一个 0 到 1 之间的随机数。如果随机数小于
dropoutRate,则转到 7。计算如果玩家竞标成功,可以获得多少钱
gain。如果玩家是第二高出价者,计算玩家将损失多少钱
loss。如果gain大于loss,则转到 8。玩家退出。从玩家集合中移除该玩家,然后转到 9。
玩家出价。
如果剩余 2 名或更多玩家,则转到步骤 1。
支持函数 dollarAuction 仿真美元拍卖。要查看代码,请参阅 dollarAuction.m。该函数接受三个输入:nPlayers、incr 和 dropoutRate。设置各个值。
nPlayers =20; incr =
0.05; dropoutRate =
0.01;
通过执行 dollarAuction 函数运行随机场景。存储输出 bids 和 dropouts。
[bids,dropouts] = dollarAuction(nPlayers,incr,dropoutRate);
随着游戏的继续,一些玩家出价,一些玩家退出。如果出价超过 1,玩家将陷入“竞价战”,直到只剩下一名玩家。
表 dropouts 包含两个变量:Player,为每个玩家分配的唯一编号;Epoch,Player 退出时的竞标轮次。使用 findgroups 对 dropouts.Epoch 进行分组,使用 splitapply 获取 dropouts.Epoch 中每一轮退出的玩家人数。
[G,epochs] = findgroups(dropouts.Epoch); numberDropouts = splitapply(@numel,dropouts.Epoch,G);
最初,没有辍学的情况。通过追加 epochs 和 numberDropouts 将此信息添加到 1 和 0 中。
epochs = [1;epochs]; numberDropouts = [0;numberDropouts];
使用 nPlayers 和 cumsum 来计算 numberDropouts 剩余的玩家数量。使用 incr 和 epochs 计算出价。使用 stairs 绘制出价与 numberDropouts 的累计总和的关系。
playersRemaining = nPlayers - cumsum(numberDropouts); stairs(incr*epochs,playersRemaining) xlabel('Bid') ylabel('Number of players remaining')

使用蒙特卡罗方法估算市场价值
您可以使用蒙特卡罗方法估算价值为 origValue 的钞票的市场价值。在这里,您生成一个蒙特卡罗模型并比较有和没有 Parallel Computing Toolbox 的速度。设置用于随机抽样结果的试验次数 nTrials。
nTrials = 10000;
您可以通过多次执行支持函数 dollarAuction 来对可能的结果进行采样。使用 for 循环生成 nTrials 样本,将每次试验的最后一次出价存储在 B 中。每次运行 dollarAuction 函数时,都会得到不同的结果。但是,当您多次运行该函数时,所有运行产生的结果都会具有明确的统计数据。
记录计算 nTrials 仿真所花费的时间。为了减少经过时间中的统计噪声,请重复此过程五次,然后取最短经过时间。
t = zeros(1,5); for j = 1:5 tic B = zeros(1,nTrials); for i = 1:nTrials bids = dollarAuction(nPlayers,incr,dropoutRate); B(i) = bids.Bid(end); end t(j) = toc; end forTime = min(t)
forTime = 21.4323
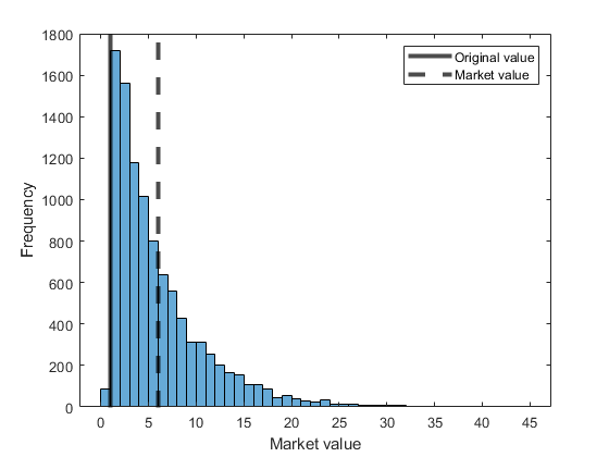
使用 histogram 绘制最终出价 B 的直方图。使用 xline 将原始值(一美元)和 mean 给出的平均市场价值叠加到图上。
histogram(B); origLine = xline(1,'k','LineWidth',3); marketLine = xline(mean(B),'k--','LineWidth',3); xlabel('Market value') ylabel('Frequency') legend([origLine, marketLine],{'Original value','Market value'},'Location','NorthEast')

在给定的算法和输入参数下,平均市场价值大于原始值。
使用 parfor 循环估计市场价值
您可以使用 Parallel Computing Toolbox 轻松加速您的蒙特卡罗代码。首先,使用 'Processes' 配置文件创建一个具有四个工作单元的并行池。
p = parpool('Processes',4);Starting parallel pool (parpool) using the 'Processes' profile ... Connected to parallel pool with 4 workers.
用 for 循环替换 parfor 循环。记录计算 nTrials 仿真所花费的时间。为了减少经过时间中的统计噪声,请重复此过程 5 次,然后取最短经过时间。
t = zeros(1,5); for j = 1:5 tic parfor i = 1:nTrials bids = dollarAuction(nPlayers,incr,dropoutRate); B(i) = bids.Bid(end); end t(j) = toc; end parforTime = min(t)
parforTime = 5.9174
结果表明,在四个工作单元的情况下,使用 parfor 循环时,代码运行速度可提高三倍以上。
使用 parfor 循环中的随机数产生可重现的结果
当您在 parfor 循环中生成随机数时,循环的每次运行都会产生不同的结果。为了创建可重现的结果,循环的每次迭代都必须具有随机数生成器的确定性状态。有关详细信息,请参阅在 parfor 循环中重复随机数。
支持函数 dollarAuctionStream 接受第四个参量 s。该支持函数使用指定的流来产生随机数。要查看代码,请参阅 dollarAuctionStream.m。
当您创建一个流时,该流的子流在统计上是独立的。有关详细信息,请参阅RandStream。为了确保您的代码每次都产生相同的结果分布,请在循环的每次迭代中创建一个随机数生成器流,然后将 Substream 属性设置为循环索引。将 dollarAuction 替换为 dollarAuctionStream,然后使用 s 在工作单元上运行 dollarAuctionStream。
记录计算 nTrials 仿真所花费的时间。为了减少经过时间中的统计噪声,请重复此过程五次,然后取最短经过时间。
t = zeros(1,5); for j = 1:5 tic parfor i = 1:nTrials s = RandStream('Threefry'); s.Substream = i; bids = dollarAuctionStream(nPlayers,incr,dropoutRate,s); B(i) = bids.Bid(end); end t(j) = toc; end parforTime = min(t)
parforTime = 8.7355
从桌面扩展到集群
您可以将代码从桌面扩展到具有更多工作单元的集群。有关从桌面扩展到集群的更多信息,请参阅 从桌面扩展到集群。
使用 delete 关闭现有的并行池。
delete(p);
在 dollarAuctionStream 循环中计算支持函数 parfor。使用不同数量的工作单元运行相同的 parfor 循环,并记录经过的时间。为了减少经过时间中的统计噪声,请运行 parfor 循环五次,然后取最短经过时间。在数组 elapsedTimes 中记录最小时间。在以下代码中,将 MyCluster 替换为您的集群配置文件的名称。
workers = [1 2 4 8 16 32]; elapsedTimes = zeros(1,numel(workers)); % Create a pool using the 'MyCluster' cluster profile p = parpool('MyCluster', 32);
Starting parallel pool (parpool) using the 'MyCluster' profile ... Connected to the parallel pool (number of workers: 32).
for k = 1:numel(workers) t = zeros(1,5); for j = 1:5 tic parfor (i = 1:nTrials, workers(k)) s = RandStream('Threefry'); s.Substream = i; bids = dollarAuctionStream(nPlayers,incr,dropoutRate,s); B(i) = bids.Bid(end); end t(j) = toc; end elapsedTimes(k) = min(t); end
Analyzing and transferring files to the workers ...done.
通过将 elapsedTimes(1) 除以 elapsedTimes 中的时间来计算计算加速。通过绘制加速比与工作单元数量的关系图来检查强扩展性。
speedup = elapsedTimes(1) ./ elapsedTimes; plot(workers,speedup) xlabel('Number of workers') ylabel('Computational speedup')

计算速度随着工作单元数量的增加而增加。