在分析中使用参数配置
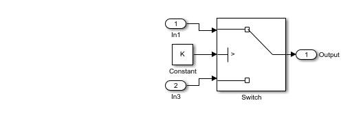
参数配置允许 Simulink® Design Verifier™ 在分析过程中评估参数范围以及默认值的影响。假设有一个示例模型,该模型说明了参数配置对分析结果的影响。该模型包含一个开关模块,其控制端口的条件为 > 0,并受在基础工作区中值为 0 的标定参数 K 的影响。

下表显示了分析结果如何随参数配置的不同而变化:
在基础工作区中值为 0 的参数 K | 未指定参数配置 | 指定参数配置,K 在区间 [-1,1] 内 |
| 分析结果 |
|
|
| 测试用例 | 在所有测试用例中参数保持相同的值,该值为基础工作区中指定的值。 | 参数值与输入值一起报告,并且在不同测试用例中可能会有所不同。 |
下图显示了参数配置所涉及的三个基本步骤:

选择参数:参数是通过使用
Simulink.Parameter变量来定义的,以便进行标定。您可以选择手动选择参数进行配置,也可以让 Simulink Design Verifier 自动检测并配置这些参数。有关详细信息,请参阅选择参数配置的约束条件。指定范围:您可以为所选参数定义范围(最大值或最小值)。对于
Simulink.Parameter变量,默认范围由最大值或最小值决定。运行分析:Simulink Design Verifier 分析使用这些值来生成结果。生成的测试用例除了包含实现期望覆盖率所需的输入外,还包含参数值。
参数配置的限制
下表说明了 Simulink Design Verifier 不支持指定参数配置的情况:
| 参数基于 | 限制 |
位置 | Simulink Design Verifier 不支持对以下参数进行参数配置:
|
数据类型 | Simulink Design Verifier 不支持对以下参数进行参数配置:
|
| 模块类型 | Simulink Design Verifier 不支持对以下模块的参数进行参数配置:
|
另请参阅
创建 Simulink Design Verifier 分析的参数配置